RSData

Strength and Stress Analysis Software

Analyzes rock and soil strength data and determines strength envelope parameters. Includes RocProp, a database of intact rock properties.

Free Trial

RSData

Strength and Stress Analysis Software

Free Trial

Rock, Soil, and Discontinuity Analysis

Fully understand your rock and soil material properties by analyzing their strength characteristics and constitutive behaviour to determine strength envelopes and other material parameters.

RSData
RSData

Rock, Soil, and Discontinuity Analysis

Fully understand your rock and soil material properties by analyzing their strength characteristics and constitutive behaviour to determine strength envelopes and other material parameters.

RSData

Virtual Soil Mechanics Lab

Utilize constitutive models like NorSand and Modified Cam Clay to get an in-depth understanding of the stress-strain relationship of your soil materials.

RSData

Virtual Soil Mechanics Lab

Utilize constitutive models like NorSand and Modified Cam Clay to get an in-depth understanding of the stress-strain relationship of your soil materials.

RocProp

RocProp, a standalone application featuring a database of 600+ intact rock properties, is included with RSData. You can search and filter by rock type, data type, geographical coordinates, and more.

RSData
RSData

RocProp

RocProp, a standalone application featuring a database of 600+ intact rock properties, is included with RSData. You can search and filter by rock type, data type, geographical coordinates, and more.

Check out the full list of technical features in RSData

See Specs

RSData Across Applications

  • Rock Testing
  • Soil Testing

Rock Testing

Calibrate your rock’s strength criteria and observed stress-strain behaviours using field and lab test data. Compare them against numerical simulations of the same tests.

Rock Testing in RSData

Soil Testing

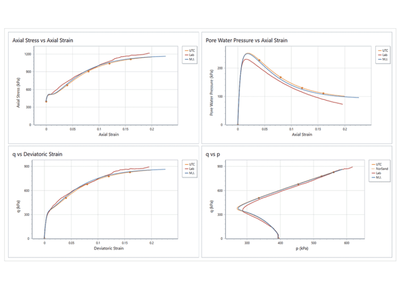
Import laboratory tests and stress-strain paths of soils into RSData for visualization. Compare and calibrate material parameters by plotting predicted constitutive behaviour on top of experimental data. RSData is a virtual soil mechanics lab, allowing you to study different constitutive models to predict typical laboratory tests.

Soil Testing RSData

RSData Seamlessly Integrates With

  • Slide2
  • Slide3
  • RS2
  • RS3

+

Import your material strength properties directly into Slide2 for streamlined numerical analysis.

RSData

+

Import your material strength properties directly into Slide3 for streamlined numerical analysis.

RSData

+

Import your material strength properties directly into RS2 for streamlined numerical analysis.

RSData

+

Import your material strength properties directly into RS3 for streamlined numerical analysis.

RSData

The Latest Features

Learn more about all the new features in the latest release of RSData. Read article
  • Stress Path Graphs

    Get in-depth insight into the stress-strain behaviours and constitutive models of your materials through detailed stress path graphs.

  • Customizable Graphs

    Take full control of your data by modifying value ranges, data sets and more. Plot any two stress/strain variables or their invariants against each other for comprehensive analysis.

  • Animation Feature

    Bring your data to life by visualizing test progress and the evolution of hardening/softening rules in the constitutive models.

RSData Stress Path Graphs
RSData Customizable Graphs
RSData Animation

Grow With Our Learning Resources

Explore our Learning Resources and User Guides, designed to help you excel with all of your geotechnical projects, whether you are a practicing engineer, an academic or a student.
Article thumbnail Introducing RS Data
article

RSData: Material Models Made Easy

Article thumbnail Triaxial Test Norsand
article

RSData: Triaxial Test of NorSand Material Model

Article thumbnail Data with RS Data
article

Getting the Best out of Your Data with RSData

RSData

Get RSData today. Choose your license below:

Personal Lease

USD / year
  • One Seat
  • One User Device
  • Cloud-Hosted Licensing
  • Managed in the RocPortal

Flexible+ Lease

USD / year
  • Multiple Seats
  • Unlimited User Devices Per Seat
  • Cloud-Hosted Licensing
  • Managed in the RocPortal
If you’re interested in hosting your flexible lease licenses on a local server, contact us.
Have questions about our pricing structure? View Plans & Pricing FAQ