Launched Soil Nail
The Launched Soil Nail support type can be used to model launched soil nail slope reinforcement.
- A Launched Soil Nail is generally a tube with a solid bar around it. However, a solid bar can also be modelled by setting the appropriate parameters to zero.
- They are launched into the soil, and often used as a quick fix for slopes that are about to fail.
Out of Plane Spacing
The spacing between soil nails in the out-of-plane direction (i.e. along the slope), measured from center to center.
Force Application
See the Force Application topic for a discussion of the significance of Active and Passive support force application in Slide2.
Outer Tube
The outside and inside diameter of the outer tube and its yield stress is input here.
Inner Bar
The diameter of the outer tube and its yield stress is input here.
Resistance Type
Shear or Tensile resistance or both can be considered. These are explained below.
Tensile Resistance
Allowable nail pullout resistance per unit length is calculated as:


Shear Resistance
For more information on the procedure outlined below, please see FHWA Application Guide for Launched Soil Nails. (Or see U.S. Department of Transportation Federal Highway Administration - Publications.)
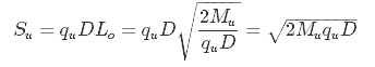
1 Ultimate shear resistance
Ultimate shear force is defined as:

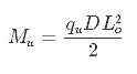
2 Moment strength of composite nail

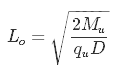
3 Moment at slip surface
The moment at the slip surface is defined as:

This can be rearranged as:

The equation above can be substituted into the equation from part 1:

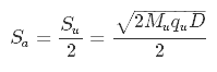
4 Allowable shear resistance
The allowable shear resistance is divided by the factor of safety for shear:

5 Bearing capacity
In the above, we can define:



is the effective friction angle along 
The allowable shear resistance in step 4 is the one used in the software when the shear resistance option is selected.
Force Orientation
The orientation of the applied support force depends on the Resistance type.
- If the Resistance Type = Shear, then the orientation of the support force will be perpendicular to the nail.
- If the Resistance Type = Tensile, then the orientation of the support force will be parallel to the nail.
- If the Resistance Type = Tensile and Shear, then the orientation of the support force will be at some intermediate angle determined by the magnitudes of the Shear and Tensile forces.