11 - Secondary Consolidation
1.0 Introduction
Topics Covered in this Tutorial:
- Staged Loads
- Time-dependent Consolidation
- Secondary Consolidation - Standard
- Secondary Consolidation - Mesri
Finished Product:
The finished product of this tutorial can be found in the Tutorial 11 Secondary Consolidation.s3z file. All tutorial files installed with Settle3 can be accessed by selecting File > Recent Folders > Tutorials Folder from the Settle3 main menu.
2.0 Model
If you have not already done so, run Settle3 by double-clicking on the Settle3 icon in your installation folder. Or from the Start menu, select Programs > Rocscience > Settle3.
2.1 Project Settings
- Select Home > Project Settings
- Define the Stress units as being “Metric, stress as kPa” and the Settlement units as Centimeters.
- Tick the Time-dependent Consolidation Analysis checkbox. A message will appear informing you that the groundwater analysis option will be turned on because it is required for consolidation analysis.
- Click OK to close the warning. Select Time Units as “Years” and Permeability Units as meters/year. The Project Settings dialog should look like this:
- Click on the Stages tab. Set the Number of Stages = 8.
- Enter the number of years as shown below:
- Select the Soil Profiles tab. Select the 'Depth below Ground Surface' option.
- Click OK to close the dialog.


| # | Time (years) | Name |
| 1 | 0 | Stage 1 |
| 2 | 1 | Stage 2 |
| 3 | 2 | Stage 3 |
| 4 | 5 | Stage 4 |
| 5 | 10 | Stage 5 |
| 6 | 20 | Stage 6 |
| 7 | 50 | Stage 7 |
| 8 | 100 | Stage 8 |
2.2 Assigning Water Table
- Select Groundwater > Add Piezometric Line
- Keep the default value of 0 m, and click OK.
- Click on the Select All button in the Assign Piezometric Line to Soils dialog.
- Click OK to close the dialog.
2.3 Adding a Load
For simplicity, we will assume a rectangular load. For the first part of the tutorial, we will simply add the load at time 0 and observe the resulting consolidation and creep.
- Select Loads > Rectangular Load
- Set the dimensions to 10m x 10m. Leave all other values as default.

- Click OK to close the dialog.
- You now need to specify the location of the rectangular load in the Plan View. Enter the coordinates {0,0} in the prompt line.
- Select View > Zoom All
The model should look like this:

2.4 Soil Properties
- Select Soils > Define Soil Properties
- For simplicity, we will assume that there is only one soil type present. For Soil Property 1, change the name to Clay.
- In the Primary Consolidation tab, leave all default values except for Cv and Cvr. Change these to 5 m2 /year. The dialog should look like this:

- We will leave secondary consolidation off for now to see how the model behaves without creep. We will turn it on later in the tutorial. Click OK to close the dialog.
To change the thickness of the soil layer:
- Select Soils > Layers
- Set the layer thickness to 10 m as shown:

- Click on the Drainage Conditions button, and make sure that the Drained Ground Surface checkbox is selected in the Soil Drainage Conditions dialog.
- Click OK to close the dialog.
2.5 Settlement without Creep
To observe the settlement for this load, we will add a query point at the center of the load.
To add a Query Point:
- Select Query > Add Point
You will see the Query Point dialog as shown.
- Leave the default choice of Automatic. This will generate subdivisions such that the discretization is denser near the ground surface where the high-stress gradients are likely to be.
- Click OK and the cursor will become a cross-hairs in the Plan View. You now need to specify the location of the Query Point. Click on the center of the square load.
In the 3D View, you should now see a query line descending from the center of the load. By default, the Total Settlement will be plotted along the line (if not, go to the Results tab and change the plot type to Total Settlement with the data type dropdown). Rotate and zoom in to better look at the results.
For stage 0, you will see no settlement since the pore water is initially supporting the load. Click through the other stages and you will see increasing settlement with time as the pore pressure dissipates. The plot for the sixth stage (20 years) should look like this:

TIP: You can maximize the 3D view by double-clicking in the 3D view window. Double-click again to return to the split-screen view.
TIP: You can show the settlement value for the query point in the Plan View by right-clicking on the query point, choosing Query Display Options, and checking the box for Show Values.
You can see below the legend in the sidebar that the maximum settlement is 20.7 cm after 20 years. After 20 years there is no more settlement. The settlement remains at 20.7 cm for Stage 7 (50 years) and Stage 8 (100 years).
Change the plot to Excess Pore Water Pressure using the data type dropdown menu in the Results tab. You will see that after 10 years, the excess pore pressure is almost 0, suggesting that the material has almost finished consolidating at this time. For 20 years and later, the excess pore pressure is essentially 0 at all points.
2.6 Settlement with Creep
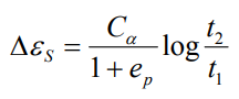
Strain due to creep, or secondary consolidation, is calculated in Settle3 with the following equation for a normally consolidated material:

- Cα is the material-dependent coefficient of secondary consolidation (input by the user)
- ep is the void ratio at the end of primary consolidation
- t1 is the time at the end of primary consolidation
- t2 is the current time
The time values, t1 and t2 are measured from the time that the load is placed. For an overconsolidated material, Cα is replaced by Cαr.
To enable secondary consolidation in Settle3, open the Soil Properties dialog.
- Select Soils > Define Soil Properties
- For the Clay, tick the Secondary Consolidation checkbox. Leave the method as Standard and set Cα to 0.03 and Cαr to 0.01.

- Click OK to close the dialog.
Now plot Total Settlement and click through the stages. You will see that the Total Settlement at 100 years is now 38.3 cm. This is due to the secondary consolidation or creep.
Change the plot to show only Secondary Settlement using the dropdown menu in the toolbar. If you click through the stages, you will see very little secondary consolidation at early times. As time goes on, secondary consolidation starts near the surface and gradually moves downwards. After 20 years, you can see that the entire soil layer is experiencing creep. This behaviour is due to the fact that secondary consolidation only starts when primary consolidation has finished as described in the box below.
2.7 Advanced Options for Secondary Consolidation
- Select Home > Project Settings
- Click on the Advanced tab. You will see two options relating to Secondary consolidation.

You can specify when secondary consolidation starts by setting the value for 'Start of secondary consolidation (% of primary)'. The default is 95%, meaning that when the excess pore pressure in any portion of the soil drops to 5% of the initial excess pore pressure (when the load was applied), then secondary consolidation starts. This is necessary because the soil never reaches 100% consolidation, so some arbitrary value is required to let the program know when primary consolidation is considered finished.
The other Advanced option allows for the specification of stress required to initiate secondary consolidation (Min. stress for secondary consolidation - % of initial). The standard equation for secondary consolidation does not include a stress term, meaning that, in theory, creep may occur even under very small loads. This is obviously not realistic so a 'cutoff' is specified in Settle3 to disable creep at low-stress levels. By default, if the applied load is less than 1% of the initial (in-situ) stress then creep will not occur.
You can view the effects of this option by generating a Field Points Grid (Grid > Auto Field Point Grid). You will see that outside of the load, there is less Secondary Consolidation than there is under the load.
You can get a more detailed view of secondary settlement with time by plotting a graph.
- Right-click on the query point and select Graph Query.
- For Plot Type choose Data vs. Stage Time.
- For Data to Plot choose Secondary Settlement.
- Leave the Depth at 0.

- Click OK. You will now see a graph of secondary settlement versus time.
- On the sidebar, go to the Axes tab and enter the following values for Horizontal and Vertical Maximum/Minimum values:

Your graph should now look like this:

It may seem strange that secondary settlement starts almost immediately in the Settle3 model. Most texts explain that secondary consolidation starts after primary consolidation is complete – so you would not expect to see any secondary consolidation for many years (see for example Holtz and Kovacs, 1981). However, most texts show results from laboratory oedometer tests in which the entire soil column finishes primary consolidation at the same time. In the field, this is generally not the case. In the Settle3 model, the top boundary is drained, so the top part of the soil finishes primary consolidation fairly quickly. Secondary consolidation then starts. As more of the soil becomes drained, more parts of the soil experience secondary consolidation.
This also explains why the graph does not show the expected logarithmic relationship between settlement and time – at least between 0 and 20 years. As time goes by, the rate of secondary consolidation in any given section of the soil column decreases. However, this is balanced by the fact that more sections of soil start to experience secondary consolidation. After 20 years, all of the soil has finished primary consolidation and the graph exhibits the expected logarithmic relationship.
3.0 Staged Load
Secondary consolidation only occurs after primary consolidation is complete. Therefore if the load changes, there will be a change in excess pore pressure and creep should stop until the excess pore pressure again approaches 0. We can show how this works in Settle3 by staging the load.
If you are still looking at the graph, click on the tab at the bottom to go back to the Plan/3D View.
- Right-click on the square load and select Load Properties.
- Tick the Advanced Staging checkbox.
- Set the Load factor for stages 6, 7 and 8 to 0.5.

This removes half the load after 20 years – essentially simulating a preload or surcharge load. The purpose of such a preload would be to consolidate the material to reduce any further settlements during future construction (see the Preload tutorial for a more detailed example). - Click OK to close the dialog.
- Now click on the tab at the bottom to show the graph of secondary settlement versus time. In the sidebar, go to the Axes tab and enter the following values for Horizontal and Vertical Maximum/Minimum values:

The plot should look like this:

You can see that at 20 years when the load is halved, the secondary settlement stops briefly and then continues on at a reduced rate until 100 years. The rate of secondary consolidation is slower after half the load is removed because the material is now overconsolidated, so Cαr is used in the strain calculation. The amount of secondary settlement at 100 years is 10.2 cm - about 40% less than the value of 17.6 cm obtained with a constant load.
4.0 Mesri Formulation
Terzaghi, Peck and Mesri (1996) describe a slightly different method for calculating secondary consolidation. With this method, a value for C∝ / Cc is specified. Therefore in our example with C∝ = 0.03 and Cc = 0.3, we need to set a value of C∝ / Cc = 0.1. This automatically assumes that C∝r / Cr = 0.1 as well.
Go back to the Plan/3D View.
- Select Soils > Define Soil Properties
- Under Secondary Consolidation, for the Method choose Mesri. Set the value for Ca/Cc to 0.1. Set the Material Type to Soft Clay as shown.

- Click OK to close the dialog.
- Now select the tab to show the plot of secondary consolidation versus time. In the sidebar, go to the Axes tab and enter the following values for Horizontal and Vertical Maximum/Minimum values:

The plot should look like this:

You can see that up to 20 years, the plot is exactly the same as it was for the Standard method (the secondary settlement at 20 years is 7.35 cm). The difference in the Mesri method becomes apparent when we consider unloading after a surcharge.
At 20 years, the surcharge is removed. There is now a period of no secondary consolidation, followed by a slowly increasing amount of creep. The total amount of secondary consolidation is 7.99 cm. This compares to 10.2 cm using the Standard method. The important number is the amount of consolidation that occurs after the preload is removed. With the Mesri method, 7.99 – 7.35 = about 0.64 cm, indicating that the preload worked well and that not much secondary settlement occurs after its removal. With the Standard method, the relative secondary consolidation after the load is removed is 10.2 – 7.35 = 2.85 cm, almost three times more.
TIP: You can accurately determine the relative amount of settlement between two stages by right-clicking on the tab for the start stage (in this case, Stage 6) and selecting Set as Reference Stage. All values will now be given relative to this stage. Right-click on any stage tab and select Reset Reference Stage to undo this operation.
The Mesri formulation makes two assumptions that are not accounted for in the standard method:
- There is a delay in the start of secondary consolidation after primary consolidation has finished (for a load removal). It is assumed that there is a period of upward 'secondary rebound' before downward secondary consolidation starts. In Settle3, the amount of upward secondary rebound is assumed to be negligible, however, this still delays the onset of downward secondary consolidation.
- After surcharging, the parameter Cα used to compute the secondary settlement is not constant with time. This Cα surcharge or C∝″ is much less than the input Cα but gradually increases with time. The exact nature of the non-linearity depends on the chosen soil type in the Soil Properties dialog. See the Theory manual for more details.
This concludes the Secondary Consolidation tutorial. You may now exit the Settle3 program.
5.0 Additional Exercise
It is unlikely that any engineer will add a preload and wait 20 years for the soil to consolidate. Repeat this exercise and add wick drains to speed up consolidation. You can also try adding a Time Point to accurately determine when the soil is 95% consolidated.
6.0 References
Holtz, R.D. and Kovacs, W.D., 1981. An Introduction to Geotechnical Engineering, Chapter 9.7 - Evaluation of Secondary Settlement, Prentice-Hall Inc., Englewood Cliffs, New Jersey.
Robinson, R.G., 2003. A study on the beginning of secondary consolidation, Journal of Testing and Evaluation, 31, 1-10.
Terzaghi, K., Peck, R.B. and Mesri, G., 1996. Soil mechanics in engineering practice, 3rd ed., Wiley, New York.