Stone Column Drainage
Settle3 introduces new feature where stone columns account for permeability with smear and well resistance effects. From the experimental studies (Jie Han and Ye 2002), stone columns can be used for accelerating consolidation rate of soft soil by providing a drainage path and reducing stresses in soil.
We introduce this new feature by allowing users to define ‘allow drainage’ option. You can determine the smear zone ratio of the columns to the well diameter, undisturbed to smeared soil permeability, as well as vertical drainage of column as shown below.

Once the allow drainage option has been selected, the permeability of the stone columns are calculated based on the stress concentration ratio of the stone columns as well as the smear zone parameters from the dialog. More details on the formulations can be found in Jie Han’s paper (2012).
In order to use this feature, the Time-dependent analysis setting should be selected in the Project Settings, as well as groundwater analysis setting enabled in Project Settings > Groundwater tab. More details on how to use this feature are outlined in Tutorial 23 Stone column drainage.
We will show an example of stone columns used to accelerate consolidation rate with two different scenarios. A 40 m wide and 1.8 m high embankment with fill unit weight of 18 kN/m3 is constructed on soft soil (5m) with the following properties ( 𝛾 = 15 kN∕m3, Es = 1.1 MPa, kr = 3.47 × 10−9 m∕s, and kv = 1.16 × 10−9 m∕s). Without the drainage of stone columns, the settlement is in good agreement with the example (~80 mm settlement).
Example model with stone columns:

When stone column permeability is introduced, you will see increase in consolidation settlement after one month of construction as shown below:
Based on the excess pore pressure calculation with ratio of smear zone and permeability ratio of undisturbed to smear zone with vertical drainage of stone columns, you will see that the consolidation from the embankment is accelerated with inclusion of stone columns with vertical drainage.
Without stone column permeability | With stone column permeability | |
Consolidation settlement after 1 month (reference from first stage):
| Consolidation settlement after 1 month (reference from first stage, double drainage):
![]() | Consolidation settlement after 1 month (reference from first stage, single drainage path):
|
| ![]() | ![]() |
In the table, you see three cases: one without drainage, two cases with drainage where one has double drainage path and one with single drainage path. As shown in the table, you can see the time to reach 90% degree of consolidation is shortened significantly when stone column permeability is introduced. The consolidation settlement with the drainage option also shows increase after one month of embankment installation.
Since the paper example uses different permeability coefficients for stone column drainage, the results may differ slightly. The paper example uses single drainage path, so the results shown in table with single drainage path shows relatively close result with the paper example (paper result after 1 month = 61 mm, Settle3 result after 1 month = 72.4 mm).
More details of modelling with this feature are explained in our tutorial, along with result comparison with the paper as verification check for consolidation process with the drainage feature.
Stone column permeability theory
The diagram helps to illustrate parameters used in the equations for stone column drainage feature.

The degree of consolidation for stone column reinforced foundation with smear and well resistance is shown below.

Where:
U - the average rate of consolidation due to radial flow;
Trm - the modified time factor in a radial flow;
F’m - function of drain geometry of stone column similar to wick drains.
It helps to understand some parameters from wick drains as these two share some similar terms, but the main difference between the two methods comes from modified factor which includes stress concentration ratio. More details are provided below.
- The modified function of drain geometry: F’m expression is shown below.
Where:
N = de/dc, the diameter ratio of drainage diameter to column diameter;
S = ds/dc, the diameter ratio of the smeared zone to drain well;
kr – the radial permeability of the undisturbed surrounding soil;
ks – the radial permeability of the smeared soil;
kr/ks is the ratio of permeability of undisturbed to smeared zone as indicated in one of our input for the stone column drain properties.kc – the permeability of column;
kc is the required input parameter for stone column drain option.hdr – drainage distance due to vertical flow;
As shown in the diagram above, Settle3 allows users to consider hdr to be either half the length of the full drainage length or full length of drainage (by selecting single drainage path). Thus, it is important to be aware that the result may differ in consolidation when full drainage length is considered (as shown previously with example as comparison).dc – diameter of the column.
- Modified factor
The modified time factor is used in stone drains:

Where:
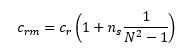
Trm – the modified time factor due to radial flow;
crm - the modified consolidation coefficient due to radial flow;
The modified consolidation coefficient is calculated based on:

Where
cr is the material coefficient of consolidation for soil.
ns – is the steady stress concentration ratio. The ratio of the stress on the stone column to that of the surrounding soil. This allows Settle3 to consider multi soil layer with stone column stiffness as the stiffness ratio between the surrounding soil to column will be used in time-dependent consolidation analysis.
The stress concentration ratio is calculated based on the following expression:

Where Ec - elastic modulus of column
Es - elastic modulus of the soil
Based on the field data, the modulus ratio (Ec/Es) should be limited to 20 (Jie Han, 2012), as shown below.

Settle3 uses the generalized stone column drainage proposed by Jie Han (2002). There are more studies that have been carried out regarding the formulation of permeability for granular stone columns with effective grain size and percentage of particles passing through a sieve for the granular column, which is not presented in this feature.
The overall verification table also shows the comparison of the results with analytical solution with the Settle3 model for stone column drainage option:

For more details on the analytical solutions, you can have a look at Jie Han's paper. For more details on the models, you can take a look at our tutorial and also send us tech support for any inquiries.
References:
Han, J. and S.L. Ye (2002) “A theoretical solution for consolidation rates of stone column-reinforced foundations accounting for smear and well resistance effects”. International Journal of Geomechanics. Volume 2, Number 2, 135-151.
Han, J. (2012) “Principles and practice of Ground improvements” John Wiley & Sons. ISBN 978-1-118-25991-7. ,165-167







