Undrained Shear Strength
The undrained shear strength option allows you to calculate the undrained shear strength according to the Shansep method. This is a post-processing feature only.
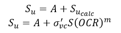
The basic equation employed is:

where:

The A, S, and m values are all user inputs. OCR and
are calculated in Settle3.
For more information see the Undrained Shear Strength in Settle3 document.
References / additional resource:
Ladd, C. (1991). "Stability Evaluation during Staged Construction." J. Geotech.
Engrg., 10.1061/(ASCE)0733-9410(1991)117:4(540), 540-615. (The Twenty-Second
Karl Terzaghi Lecture)
M D’Ignazio et al (2021) "Uncertainties in modelling undrained shear
strength of clays using Critical State Soil
Mechanics and SHANSEP" IOP Conf. Ser.: Earth Environ. Sci. 710 012075