API Method for Sand
The following material properties need to be defined for the p-y curves:
- Friction Angle
- Initial Modulus of Subgrade Reaction
This method is recommended by the American Petroleum Institute in its manual for the design of offshore platforms.

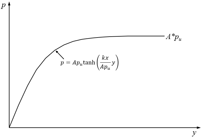
p-y curve for API Sand
For more information, see the Lateral Analysis Theory Manual.