Search Results

Reliability Index

In addition to the Probability of Failure, another commonly used probabilistic measure of safety is the Reliability Index. The Reliability Index is listed in the RocPlane Info Viewer and Sidebar, and is defined as follows.

If one assumes that the distribution of safety factors, after a probabilistic analysis, is normally distributed (i.e. has a Normal Distribution), then Equation 1 is used to calculate the Reliability Index:

Eqn. 1

where:

b = Reliability Index,

m = Mean Factor of Safety,

s = Standard Deviation of FS

As can be seen from Equation 1, the Reliability Index represents the number of standard deviations that separate the mean Factor of Safety, from the critical Factor of Safety ( = 1 ).

  • As a rule of thumb, the Reliability Index should be at least 3 or greater, to have reasonable assurance of a safe slope design.
  • A Reliability Index = 0, implies that the Mean Factor of Safety = 1.
  • A negative Reliability Index indicates a Mean Factor of Safety less than 1.

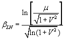
If one assumes that the distribution of safety factors, after a probabilistic analysis, is lognormally distributed (i.e. has a Lognormal Distribution), then Equation 2 is used to calculate the Reliability Index:

Eqn. 2

where:

= lognormal Reliability Index

m = Mean Factor of Safety

V = coefficient of variation of Factor of Safety = s / m

s = Standard Deviation of FS

In reality, the Factor of Safety distribution is often best fit by a Lognormal rather than a Normal Distribution, and therefore Equation 2 is frequently used to calculate the (lognormal) Reliability Index. Remember that the Lognormal Distribution is only applicable for variables which are always positive, which is the case for Factor of Safety.

The Reliability Index information can be found in the Info Viewer and Sidebar, and is reported for both the Normal (Equation 1) and Lognormal (Equation 2) assumptions.

Rocscience logo, click here to return to the homepage Portal Account Portal Account Portal Help Log In Log Out Home Shopping Cart icon Click here to search our site Click here to close Learning Tech Support RSInsight+ Logo Documentation Info Chevron Delete Back to Top View More" Previous Next Edit PDF File Calendar Location Language External Link Apply to ACC External Link Fees Video Click here to visit Rocscience's LinkedIn page Click here to visit Rocscience's YouTube page Click here to visit Rocscience's X page Click here to visit Rocscience's Facebook page Click here to visit Rocscience's Instagram page Click here to visit Rocscience's Reddit page Bookmark Network Scroll down for more Checkmark Download Print Back to top Single User Multiple Users RSLog RocFall3 CPillar Dips EX3 RocFall RocPlane RocSlope3 RocSupport RocTopple RS2 RS3 RSData RSPile RSWall RSSeismic Settle3 Slide2 Slide3 SWedge UnWedge RocTunnel3 RocSlope2 BlastMetrix ShapeMetriX FragMetriX TestLicense Commercial License Education License Trial License Shop safe & secure Money-back guarantee